Tiene el Estado de México Presupuesto para 2024
El paquete fiscal que aplicará el gobierno del Estado de México en 2024 fue aprobado por unanimidad en el Congreso mexiquense, lo calificaron de humanista, austero y con vocación social.

TOLUCA, Estado de México.- En una sesión del Pleno Legislativo que se había constituido en reunión permanente, las y los integrantes de la LXI Legislatura del Estado de México aprobaron por unanimidad el Presupuesto de Egresos y la Iniciativa de Ley de Ingresos de los Municipios del Estado de México para el ejercicio fiscal 2024.
La presidenta de la comisión de Planeación y Gasto Público de la Cámara de Diputados del Estado de México, Mónica Angélica Álvarez Nemer, destacó que esta aprobación demuestra la unidad en torno al proyecto estatal de la gobernadora Delfina Gómez Álvarez y el respaldo a las políticas públicas de un gobierno transformador, cuyo objetivo principal es mejorar las condiciones de vida de la población mexiquense.
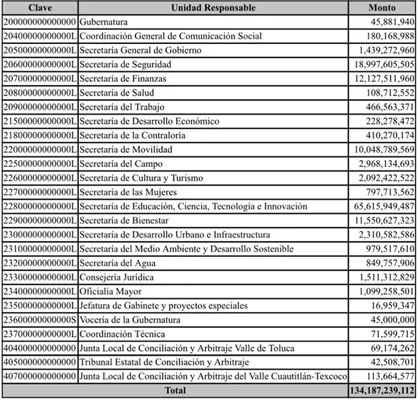
En el estudio, análisis y proceso de debate participaron diputadas y diputados de todos los grupos parlamentarios, reconociendo la importancia de determinar el origen y destino de los 377 mil 935 millones de pesos que el Gobierno del Estado de México ejercerá durante el próximo año.
La inversión y el gasto público del gobierno transformador permitirán llevar a la práctica las políticas públicas del Poder Ejecutivo, Legislativo, Judicial estatal, así como de entes autónomos y 125 gobiernos municipales.
Ver nota: Aprueban en comisiones el Presupuesto 2024 para Edomex
Estas políticas públicas abarcan todos los sectores:
- Agropecuario
- Económico
- Bienestar social
- Salud
- Educación
- Seguridad
- Igualdad de género
Las comisiones legislativas de Planeación y Gasto Público y de Finanzas Públicas iniciaron el análisis de las Iniciativas de Decreto y se constituyeron en reunión permanente para estudiar y analizar el denominado Paquete Fiscal 2024. En este proceso, colaboraron servidores y servidores públicos de la Secretaría de Finanzas del Gobierno estatal, así como especialistas que complementaron la información y aclararon dudas, fortaleciendo algunas modificaciones al Código Financiero con el objetivo de mejorar la eficacia en la prestación de servicios y fortalecer las finanzas públicas municipales.
Por su parte, María del Carmen De la Rosa Mendoza, integrante de la comisión de Planeación y Gasto Público, destacó que se logró por primera vez en la historia del Estado un gran consenso para elaborar un Paquete Fiscal humanista, austero, prudente y con alta vocación social.
La iniciativa de Ley de Ingresos de los Municipios del Estado de México para el ejercicio Fiscal 2024 busca recaudar las contribuciones necesarias y otorga beneficios fiscales que apoyan a los sectores más vulnerables, procurando atender las necesidades más apremiantes de los municipios mexiquenses.
La legisladora subrayó que es fundamental que los municipios tengan la potestad para proponer las cuotas y tarifas de las contribuciones que tienen derecho a percibir, de acuerdo con la Constitución Política de los Estados Unidos Mexicanos y el Código Financiero del Estado de México y Municipios. Además, se considera viable seguir otorgando incentivos fiscales para mejorar la eficacia recaudatoria, siempre y cuando el marco jurídico sea claro, actualizado y congruente, con el objetivo de facilitar el cumplimiento de las obligaciones tributarias de la ciudadanía y mitigar los impactos negativos de la pandemia de Covid-19 en la salud y la economía de la sociedad.
Con la aprobación del Presupuesto de Egresos y la Ley de Ingresos de los Municipios del Estado de México para el ejercicio fiscal 2024, se espera fortalecer el desarrollo económico y social de la entidad, garantizando una gestión eficiente y transparente de los recursos públicos.






